《河北省普通高校考试招生制度改革实施方案》政策解读五十问
发布时间:2019-04-29 13:35 发布作者:中国阳光升学网 浏览量:
前言
考试招生制度是国家基本教育制度,高考综合改革是教育领域“牵一发而动全身”的重大改革。根据党中央、国务院的决策部署,报经省委、省政府和教育部同意,我省作为全国第三批启动高考综合改革的8个省(直辖市)之一,从2018年秋季入学的高中一年级学生开始实施高考综合改革。此前,我省已就启动改革进行了安排和部署,相关工作正在有序推进。
深化高考综合改革,承载着广大考生美好期盼,事关千家万户切身利益,政策性强、关注度高。为帮助大家全面学习、系统了解和准确把握我省高考综合改革的政策措施、程序规则等,我们组织有关专家和长期从事普通高考工作的有关同志,对《河北省普通高校考试招生制度改革实施方案》(以下简称《实施方案》)所涉及的有关问题,进行了政策解读,供广大考生、家长和教师参阅。
河北省教育厅
2019年4月
总体情况
1为什么国家要开展新一轮高考综合改革?
答:考试招生制度是国家基本教育制度。恢复全国统一高考40多年来,伴随着我国政治、经济及教育体制改革的步伐,高考招生制度不断改进完善,初步形成了相对完整的考试招生体系,为学生成长、国家选才、社会公平作出了历史性贡献,成功走出了一条具有中国特色、基本符合中国国情的人才选拔道路。这一制度总体上符合国情,权威性、公平性得到社会的普遍认可,但也存在着社会反映强烈的问题,主要有简单“唯分数论”影响学生全面发展,“一考定终身”使学生学习负担过重等现象。
新一轮考试招生制度改革作为党中央确定的重大政治任务,是党中央、国务院直接领导和推动的重大改革。党的十八届三中全会通过了《中共中央关于全面深化改革若干重大问题的决定》(以下简称《决定》),对高考综合改革作出了全面、系统的部署,明确要求推进考试招生制度改革,探索招生和考试相对分离、学生考试多次选择、学校依法自主招生、专业机构组织实施、政府宏观管理、社会参与监督的运行机制,从根本上解决“一考定终身”的弊端。
2我省《实施方案》是如何制定出来的?
答:党的十八届三中全会《决定》对深化考试招生制度改革作出了全面部署;2014年9月,国务院下发了《关于深化考试招生制度改革的实施意见》(以下简称《实施意见》),并确定上海、浙江为首批高考综合改革试点省市,新一轮高考综合改革正式拉开帷幕。2017年,北京、天津、山东、海南启动第二批高考综合改革试点。
国务院《实施意见》出台后,省委、省政府高度重视,把推进考试招生制度改革列入重要议事日程,并作为促进教育公平、深化教育改革的重要抓手进行全面部署。在省委、省政府坚强领导下,省教育厅组织专门力量,认真学习领会国务院《实施意见》精神,积极借鉴第一批、第二批高考综合改革试点省市成功经验,充分考虑我省原有高考模式、基础教育发展水平、高等教育和学科专业布局等因素,因地制宜制定高考综合改革方案。起草过程中,我省组织开展了深入系统调研,通过召开系列座谈会,广泛征求人大代表、政协委员,市、县(市、区)教育行政部门、考试机构、教研机构、本(专)科高校、普通高中、中职学校等部门、学校,以及有关专家和学生、家长等各方面的意见,经过不懈攻关,先后经过30余次专题会议研究,拟定了《河北省普通高校考试招生制度改革实施方案》,经省司法厅合法性审核通过,报省政府常务会议、省委全面深化改革委员会会议审议通过,由省政府报教育部审核备案后,正式印发执行。
3我省从什么时间开始进行“新高考”?
答:根据教育部总体安排和我省向社会发布的《关于深化考试招生制度改革的实施方案》,明确我省作为第三批推进高考综合改革省份之一,自2018年启动普通高校考试招生制度综合改革,即从2018年秋季入学的高一年级开始实施,到2021年实行新的普通高校招生录取制度,即2021年开始“新高考”。此前,我省已经就相关工作进行了安排部署,正在有序推进。
4我省高考综合改革的指导思想和目标是什么?
答:以习近平新时代中国特色社会主义思想为指导,深入贯彻落实党的十九大和全国教育大会精神,全面贯彻党的教育方针,落实立德树人根本任务,适应社会发展对多样化、高素质人才的需要,以有利于促进学生全面健康发展、科学选拔培养各类人才和维护社会公平为出发点和落脚点,深化高考综合改革,构建更加公平公正、科学合理、监督有力的考试招生制度,为实现河北教育现代化,建设经济强省、美丽河北提供有力支撑。
我省高考综合改革从2018年秋季入学的高一年级学生开始实施,实行基于统一高考和普通高中学业水平考试成绩、参考综合素质评价的多元录取机制;积极推进高等职业院校考试招生改革。到2021年,在我省初步建立分类考试、综合评价、多元录取的普通高校考试招生制度。
5我省高考综合改革的主要内容是什么?
答:我省这次高考综合改革是对高考招生制度的整体设计,是一次综合、系统、全面的改革,主要包括四个方面内容:一是深化统一高考改革,主要包括考试科目、考试安排、高考成绩构成、选择性考试科目选考要求、改进招生录取方式等;二是调整和完善普通高中学业水平考试,坚持基础性,突出选择性,主要包括考试科目、考试内容、考试组织、考试对象、考试安排、成绩呈现等;三是建立和规范普通高中学生综合素质评价制度,建立科学的综合评价体系,促进学生全面而有个性的发展;四是推进高等职业教育分类考试招生。
从2021年开始,我省普通高校统一考试招生录取将建立基于统一高考和普通高中学业水平考试成绩、参考综合素质评价的招生录取新机制,简称“两依据、一参考”。
6改革后,我省普通高等教育阶段考试招生基本模式主要有哪些?
答:国务院《实施意见》确立了普通高等教育分类考试招生制度,要求逐步“形成分类考试、综合评价、多元录取的考试招生模式”,要“加快推进高职院校分类考试,高职院校考试招生与普通高校相对分开,实行‘文化素质+职业技能’的评价方式”。
在本次高考综合改革中,按照国务院《实施意见》总体要求,我省确立了以普通高考和高等职业教育分类考试招生为主要形式的普通高等教育考试招生制度。
普通高考以本科层次招生为主,主要为普通本科高校选拔学生,实行“两依据、一参考”的考试招生模式,调整统一考试科目和选考科目,改革统一考试招生录取机制。
高等职业教育分类考试招生以高职(专科)层次招生为主,实行“文化素质+职业技能”的评价方式,主要为高职(专科)院校选拔学生,待条件成熟时,整合我省现有的三二分段、五年一贯制、对口升学等招生方式,允许部分应用型本科高校通过高等职业教育分类考试招生选拔学生。
全国统一高考
7全国统一考试科目有哪些?
答:自2021年起,6月份全国统一考试科目为语文、数学、外语3个学科,不分文理科。其中外语科目考试由听力和笔试两个部分组成,条件成熟时探索为考生提供两次考试机会。全国统一考试科目均由教育部考试中心统一命题。
8普通高校全国统一考试招生录取的考生(文化)总成绩是如何组成的?
答:考生总成绩由全国统一高考的语文、数学、外语3个科目成绩和考生选择的3科普通高中学业水平选择性考试(即普通高中课程方案和学科课程标准中规定的等级性考试,下同)科目成绩组成,满分为750分。其中,统一高考的语文、数学、外语3门科目,每科满分均为150分,总分450分,各科均以原始成绩计入考生总成绩。在普通高中学业水平选择性考试中,考生在物理或历史中所选择的1门科目,满分为100分,以原始成绩计入考生总成绩;在思想政治、地理、化学、生物学4门科目中选择的2门科目,每科满分均为100分,以等级赋分成绩计入考生总成绩。即通常所说的“3+1+2”模式。
9考生确定选考科目时,为什么要在物理或历史中选1门,在其余4科中选2门?
答:我省《实施方案》规定,考生在确定普通高中学业水平选择性考试科目时,应在历史或物理中选择1门,在思想政治、地理、化学、生物学中选择2门。这样设置的主要考虑:一是体现高校人才培养需要。普通高校、普通高中和学科专家普遍认为,在高校人才培养中,物理是自然科学类专业的基础性学科,历史是人文社会科学类专业的基础性学科。高中阶段学习物理或历史科目是大学阶段学习自然科学类专业或人文社会科学类专业以及其他交叉学科专业的重要基础。因此,考生在这两个科目中选择1门,有利于为进入大学开展专业学习奠定扎实基础,也有利于高校相关专业对学生的培养。二是符合我省普通高中教育教学实际。我省各地高中办学条件存在一定差异,将物理或历史作为考生必选的科目之一,可以与现有师资、教室等条件有效衔接,引导不同地区、中学的学生合理选择学习科目,科学规划学业生涯,为进入大学继续深造奠定坚实的专业基础。三是有利于学生多样化成长发展。学生可从思想政治、地理、化学、生物学中选择2门参加选择性考试,理论上有12种组合。相比改革前文理分科的两种学科组合方式,不仅增加了学生的选择权,而且促进了文理交融,充分体现了以人为本、学其所好、考其所长的原则,更加符合教育发展规律和人才成长规律,为学生成长成才提供更多机会。
同时,为了便于投档录取,高校在安排招生计划时,将分物理科目组合和历史科目组合两个类别分别编制;在录取时,也将按照选物理的考生和选历史的考生分两个序列进行排队录取。也就是说,同一名考生无法同时在物理科目组合和历史科目组合两个队列中排队录取,因此考生只能从物理或历史中选择1门参加选择性考试。
10“新高考”实施“3+1+2”模式和传统的文理分科有何区别?
答:“3+1+2”的模式和传统的文理分科有着本质上的区别。一是目标导向不同。“3+1+2”的模式既体现了物理、历史学科的基础性作用,突出了高校不同学科专业选才的要求,也更加注重学生的全面发展,提高学生的综合素质。二是选择科目组合不同。“3+1+2”的模式,学生可根据个人爱好、兴趣、特长和拟报考学校和专业的招生要求以及高中学校的办学条件,在12种组合中自主选择,增大了考生的选择面。而传统文理分科仅有2种固定的组合供考生选择。其中,文科考生只能选择思想政治、历史、地理1种固定组合,理科考生只能选物理、化学、生物学1种固定组合。三是考试内容不同。“3+1+2”的模式中,学生参加全国统一高考的语文、数学、外语3个科目考试时不分文理,所有考生的考试试卷完全一致。而传统文理分科的数学考试科目,试卷的内容和难度则是有区分的。
普通高中学业水平考试
11普通高中学业水平考试是什么?
答:普通高中学业水平考试是根据国家普通高中课程标准和教育部有关规定,由省教育厅组织实施的国家考试,主要衡量学生达到国家规定学习要求的程度,是保障教育教学质量的一项重要制度。
普通高中学业水平考试分为合格性考试(以下简称合格考)和选择性考试(以下简称选择考)。合格考成绩是学生毕业、普通高中同等学力认定的主要依据;选择考成绩计入普通高校统一考试招生录取的考生总成绩。
12完善和强化普通高中学业水平考试制度的目的是什么?
答:一是促进学生全面发展。引导学生认真学习每一门课程,避免严重偏科现象,全面提高综合素质。二是促进学生个性发展。计入考生总成绩的选择考科目,学生可以根据自身兴趣、志向、优势和高校招生要求以及普通高中办学条件,扬长避短选择。三是促进高中教育质量提升。通过普通高中学业水平考试制度改革,引导高中落实课程方案,加强课程实施,提高办学质量。四是促进高校科学选才。高校可以针对专业人才培养需要,通过合理设置招生录取科目要求,提高选拔人才的针对性和有效性。
13合格考包括哪些科目?内容范围是什么?
答:合格考覆盖国家课程方案规定的所有科目,包括语文、数学、外语、思想政治、历史、地理、物理、化学、生物学、信息技术、通用技术、音乐、美术、体育与健康等14个科目。
合格考内容范围为普通高中学科课程标准规定的必修内容。
14合格考的考试对象是哪些?
答:普通高中在校学生均须参加合格性考试,中等职业学校学生和社会人员也可以报名参加合格性考试。
15合格考如何组织考试?
答:合格考中的语文、数学、外语、思想政治、历史、地理、物理、化学、生物学等科目由全省统一命题、统一组织考试、统一阅卷、统一公布成绩。信息技术采用全省统一组织网络考试方式,其他科目考试采取省定标准、各市统一组织实施的方式。
全省统一组织的合格考每年组织2次,分别安排在5月和12月。普通高中在校生、中等职业学校在校生首次参加考试不得早于高一下学期末,高一年级考试科目原则上不多于4门,高三上学期结束前需完成全部合格考。社会人员可自主安排合格考科目。
16合格考成绩如何呈现和运用?
答:全省统一组织的合格考每门科目满分均为100分,考试成绩以“合格”“不合格”呈现。为在高职院校分类考试招生中有效使用学业水平考试成绩,数学、语文、外语、思想政治、历史、地理、物理、化学、生物学等科目的合格考成绩再以A、B、C、D、E等级呈现。
合格考各科成绩合格,是普通高中学生毕业及普通高中同等学力认定的主要依据。普通高中在校生的合格考科目成绩合格,方可参加该科目的选择考。
合格考成绩纳入学生综合素质档案,同时也是普通高中学校课程管理和教学质量监测的重要参考依据。
17选择考包括哪些科目?内容范围是什么?
答:选择考科目包括思想政治、历史、地理、物理、化学和生物学。选择考科目考试以各学科国家课程标准为依据,范围为必修和部分选修内容。
18选择考科目选择组合有哪些?
答:选择考科目理论上有12种组合,考生可以根据自身兴趣、志向、优势和高校招生要求以及普通高中办学条件选择,具体组合如下:
19考生如何确定选择考科目?
答:科学合理确定选考科目主要是要结合自身兴趣特长和优势、高校招生专业选考科目要求和普通高中办学条件进行选择。第一,考生可根据个人志向、兴趣爱好、自身优势等因素,按照对各科的喜好程度进行选择。第二,考生要结合报考院校相关专业选考科目要求进行选择。第三,考生可根据所在高中的办学条件、特色优势等进行选择。
20选择考科目什么时候确定?
答:选择考科目由学生在合格考结束后选择,在高考报名时最终确定。高考报名前都可以更换所选择的科目,但在实际操作时,建议慎重考虑。一是无论哪一学科的学习,随着内容难度的增加,都可能会遇到困难,有时成绩还会暂时下滑,这属于正常现象;二是选科后,各学科就开始学习所选科目的部分选修内容,如果一段时间后再更换学科,已经进行的课程很难补课。因此,建议学生选科时要综合考虑各种因素,征求家长、老师的意见,科学选择,尽量避免更换学科。
21选择考如何组织考试?
答:选择考由省统一命题、统一考试、统一组织阅卷、统一公布成绩。选择考从2021年开始实施,每年组织1次,时间安排在当年6月份全国统一高考同期进行。普通高中在校生只能在高三年级参加选择考。选择考每科考试时长均为90分钟,每科卷面满分为100分,考试成绩当年有效。
22选择考科目的成绩如何呈现和运用?
答:选择考科目中物理或历史以原始分呈现,并计入考生总成绩;其余4科成绩按照等级赋分办法以转换分的形式呈现,并计入考生总成绩。
23为什么物理和历史按原始成绩计入考生总成绩?
答:我省《实施方案》确定,在录取时选考物理的考生和选考历史的考生将分别排队录取。因此,选择物理(或历史)的考生将使用同一物理(或历史)试卷、考试群体相同,成绩具有可比性,可以使用原始分计入考生总成绩。
24为什么思想政治、地理、化学、生物学考试成绩要实行等级赋分?
答:选择物理(或历史)科目相同的考生,可以在思想政治、地理、化学、生物学科目中,根据个人兴趣特长和高校招生选考科目要求,选择不同选考科目计入考生总成绩。由于思想政治、地理、化学、生物学4门科目试题难度差异和报考相应学科的考生群体不同,考生选考科目的原始分不具有可比性。如,考生甲选考思想政治,考生乙选考化学,两人都考了80分,考生甲排在所有选考思想政治考生的第100位,考生乙排在所有选考化学考生的第1000位。若简单将他们各科成绩相加计入考生总成绩并进行比较,既不科学也不公平。因此,需要将不同科目的原始分按照一定规则通过转换得到等级分(转换后考生选考科目成绩排队顺序不变),以解决选考科目的原始分不具有可比性的问题。
25等级赋分的规则是什么?
答:思想政治、地理、化学、生物学4门科目每科原始成绩为100分,转换后赋分成绩满分为100分,赋分起点为30分。转换时将各科目考生原始成绩从高到低划分为A、B、C、D、E共5个等级,各等级人数所占比例分别约为15%、35%、35%、13%和2%。各科目成绩计入考生总成绩时,将A至E等级内的考生原始成绩,按照事先确定的比例,依照转换公式,分别转换到100~86、85~71、70~56、55~41、40~30五个分数区间(表1),得到考生的赋分成绩。转换基数为实际参加该科目选择考的人数(不含缺考及因违纪作弊已被取消该科成绩的人数)。
表1:具体等级比例和赋分区间
等级转换的具体公式:
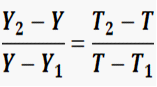
其中:
Y1、Y2分别表示原始分区间的下限和上限;
T1、T2分别表示转换分区间的下限和上限;
Y表示原始分;
T表示转换分。
考虑到高考分数都以整数呈现,故上述公式的计算结果需要进行“四舍五入”处理。
26具体是如何进行成绩转换的?
答:可以举例说明,假设某同学思想政治学科原始分为75分,该学科B等级的原始分分布区间为82~61,则该同学思想政治学科的原始成绩属B等级。而B等级的转换分区间为85~71,那么该同学思想政治学科的转换分为:
解得,T≈80.33;
四舍五入后该同学思想政治学科赋分成绩为80(图2)。
图2:转换示意图
27等级赋分的优点是什么?
答:一是能够较好解决思想政治、地理、化学、生物学4门科目之间分数不等值、学生选考科目分数不能直接相加参加高校招生录取的问题;二是等级区间比例依据我省往届考生的实际状况划定,符合实际情况;三是能够保持考生每门学科成绩排名顺序不变,确保成绩转换的公平公正;四是能够最大限度保证考生的成绩具有良好的区分度,满足高校人才选拔需要。
28合格考和选择考的区别是什么?
答:合格考与选择考主要有以下五个方面的区别:
一是考试目的不同。合格考是标准参照考试,目的是检查全体高中学生是否达到了普通高中课程方案和课程标准规定的基本学业要求,可以称为“强化基础”;选择考是常模参照考试,目的则是在“强化基础”的前提下,凸显不同高中生在学业修习上的学科特长,可以称为“突出个性”。
二是考试科目不同。合格考覆盖国家课程方案规定的所有学习科目。选择考是学生根据自身兴趣、志向、优势和高校招生要求以及普通高中办学条件,在物理或历史中选择1门、在思想政治、地理、化学、生物学中选择2门,共计3个科目组成选择考科目。
三是考试范围不同。合格考范围为各学科课程标准确定的必修内容;选择考范围为各学科课程标准确定的必修和部分选修内容。
四是成绩呈现不同。合格考科目成绩分为“合格”和“不合格”。选择考中,物理或历史科目成绩以原始分呈现;思想政治、地理、化学、生物学科目成绩以等级赋分形式呈现。选择考成绩当年有效。
五是考试时间和考试机会不同。全省统一组织的合格考每年组织2次,分别安排在5月和12月。普通高中在校生首次参加考试不得早于高一下学期末,高一年级考试科目原则上不多于4门,高三上学期结束前需完成全部合格考。高中阶段其他学校在校生和社会人员,可自主安排合格考科目。选择考从2021年开始实施,每年组织1次,时间安排在当年6月份全国统一高考时同期进行。
普通高中学生综合素质评价
29为什么要建立并规范高中学生综合素质评价制度?
答:普通高中学生综合素质评价是客观反映学生德智体美劳全面发展情况的系统评价,是培育学生社会责任感、创新精神和实践能力、促进学生健康发展的重要手段,是深入推进素质教育的重要举措。开展综合素质评价,有利于促进学生自我认识、自我完善,积极主动地发展;有利于把握学生成长规律,从过于关注学生成绩向更加关注学生发展过程转变,切实转变教育观念和人才培养模式;有利于促进评价方式改革,改变以考试成绩为唯一标准评价学生的做法,为高校招生录取提供重要参考。
30综合素质评价的主要内容有哪些?
答:综合素质评价内容分为思想品德、学业水平、身心健康、艺术素养、社会实践(含劳动实践)五个方面,主要考察学生爱国情怀、遵纪守法、创新思维、体质达标、审美能力、劳动实践等。
31通过什么方式记录学生综合素质发展情况?
答:采用真实记录方式,客观记录学生综合素质发展各方面情况。高中学校通过高中学生综合素质评价管理系统,为每一名学生建立个人成长电子档案。在教师指导下,学生自主记录个人主要成长经历及突出表现;按照省教育厅统一要求,学生在每学期末整理、遴选具有代表性的记录材料形成评价记录表;高中毕业时,根据评价系统原始记录中有代表性的典型材料,生成学生综合素质档案;其中,学业水平考试成绩、学分和体质健康测试成绩等,由学校、教育行政部门等相关单位统一导入。
32综合素质档案材料如何应用?
答:一是由高中学校用于学生教育。高中学校利用综合素质档案材料,分析把握学生成长过程,全面优化课程建设,引导学生发现自我、做好自我成长规划,促进学生全面而有个性的成长。二是作为高校招生录取的重要参考。高校按照教育部规定,制定综合素质档案材料的具体使用办法,把评价结果作为招生录取的重要参考。
33如何确保高中学生综合素质档案材料的真实可信?
答:一是强化管理。建立健全材料公示制度、抽查制度、申诉与复议制度、诚信责任追究制度,对弄虚作假者按国家有关规定给予严肃处理,确保综合素质材料真实可靠。二是客观记录。综合素质评价是学生成长过程中典型事实的真实记录,以事实材料为佐证,有据可查。三是公开透明。用于招生使用的活动记录和事实材料必须进行公示,经公示无异议后由学生本人和学校相关负责人在网络管理平台上确认,学校最终审核把关。
普通高校统一招生录取
34普通高校招生录取方式有什么变化?
答:从2021年起,普通高校招生依据统一高考和高中学业水平考试成绩、参考综合素质评价进行录取。其中,高校将按物理科目组合、历史科目组合两个类别分列招生计划、分别划线、分别进行投档录取(部分特殊类型招生除外)。考生志愿由“专业(类)+院校”组成,采取一所院校一个招生专业(类)为一个志愿,实行平行志愿投档的统一录取模式。
35普通高校招生录取批次有什么变化?
答:自2020年起,合并本科一批、本科二批录取批次,普通高校招生录取分为本科提前批、本科批、高职(专科)提前批和高职(专科)批四个批次。
36普通高考招生录取志愿设置有什么变化?
答:高考综合改革后,普通高考招生录取志愿设置将主要采用“专业(类)+学校”的组合方式。具体批次设置、志愿数量及部分特殊类型招生志愿设置等将另行公布。
37什么是“专业(类)+学校”的志愿组合方式?
答:传统的志愿设置是以一所学校为一个志愿单位,每个学校下可以填若干个专业志愿和是否服从专业调剂意愿;实行“专业(类)+学校”的模式后,则以一所学校加一个专业(类)为一个志愿单位。将每一个志愿细化到了专业或专业类,因此不再设置专业调剂志愿,考生的专业选择权得到更充分尊重,考生根据自己的意愿可以直接选择志愿为某个学校的某个专业,其满意度显然相比传统模式会得到提高;同样的道理,学校录取的考生因其专业意愿表达明确、充分,选拔满意度和培养契合度也会得到大幅提升。
38“专业(类)+学校”的志愿填报有何优势?
答:“专业(类)+学校”的志愿填报的优势:一是能够更好维护考生利益。在考生的选考科目与招生专业相符的前提下,考生可以按照自己的专业理想自由选择志愿。考生既可以选择不同高校的同一专业,也可以选择同一所高校的不同专业,还可以选择不同专业下的不同高校,可以最大限度地保障学生的专业选择权。二是能够引领基础教育健康发展。“专业(类)+学校”的志愿填报和招生录取方式,能够促使高中更多关注学生的综合素质发展,关注学生学习过程中的兴趣取向和专业志向,促进学生的个性特长发展。三是能够促进高校进一步加强专业建设。“专业(类)+学校”的招生录取方式,有利于高校录取到具有明确专业志向的学生,但对高校的专业建设和人才培养都提出了更高要求,促进高校进一步加强学科专业建设,提高人才培养质量。四是能够强化相关领域人才培养。“专业(类)+学校”的志愿填报和招生录取方式,能够吸引更多考生选择自己擅长并心仪的专业,增加其学习动力,有利于个人成长,有利于国家相关领域人才队伍建设。
39普通高校招生专业对选考科目有何要求?
答:高校要结合自身办学定位和专业培养目标,认真研究本校专业人才培养对高中学生学科专业基础的需要,对每个具体专业提出选考科目要求。比如,某高校的某专业要求考生必选“物理”,对其余科目不做要求,则表示考生3门选考科目中只要有物理就可报考该专业。如果某高校的某专业要求考生除了“物理”之外,还要选择“地理”,那么考生3门选考科目中就需要同时有“物理”和“地理”,才可以报考该专业。
我省汇总各招生高校所提的选考科目要求后,及时提供考生参考。
40普通高校招生计划如何编制?
答:普通高校将严格按照之前公布的本校拟招生专业的选考科目要求,并根据人才培养要求,按照物理科目组合和历史科目组合两类,分本、专科来分别编制招生计划,对选考科目的要求将明确到每一个招生专业中。如果某一专业既可以按物理科目组合招生,也可以按历史科目组合招生,那么也需分开编制招生计划。
高等职业教育分类考试招生
41什么是高等职业教育分类考试招生?
答:高等职业教育分类考试招生是高职(专科)院校招生的主要形式,是与普通高考相对分开的一种选拔方式。
42为什么要实行高等职业教育分类考试招生?
答:实行高等职业教育分类考试招生是这次考试招生制度改革的一个重大举措。高等职业教育担负着培养多样化人才、传承技术技能、促进就业创业的重要任务,因此在考试招生中更加注重对学生职业倾向和职业技能的考核。实行高等职业教育分类考试招生,将高职(专科)院校的招生与普通高校相对分开,既有利于高职(专科)院校按照职业教育的规律选拔和培养技能型人才,同时也有利于一部分学生尽早地选择适合自己的职业教育。
43高等职业教育分类考试招生与普通高考有什么联系和区别?
答:高等职业教育分类考试招生与普通高考都是普通高校考试招生的重要组成部分,二者既有联系,也有区别。无论是参加高等职业教育分类考试招生,还是参加普通高考,都需要参加高考报名并取得报名资格;通过高等职业教育分类考试招生录取和通过普通高考录取的学生,毕业证书效力完全相同,没有任何区别。二者的区别主要表现在以下两个方面,一是考试时间不同。高等职业教育分类考试招生统一安排在春季进行,普通高考统一安排在夏季进行。二是考试方式不同。高等职业教育分类考试招生实行“文化素质+职业技能”的考试方式,文化素质考试科目为语文、数学,职业技能部分包括专业基础知识和职业适应性测试;普通高考则主要考查学生的文化素质,考试科目除了统一高考科目语文、数学、外语外,还有3门学业水平考试的选考科目。
44高等职业教育分类考试招生是否招收本科层次的学生?
答:目前,我省高等职业教育分类考试招生的院校主要由省内普通高职(专科)院校、普通本科院校中的专科专业及部分省外获得批准的高职(专科)院校构成,只进行高职(专科)层次的招生。待条件成熟时,将允许部分应用型本科高校招收本科层次的学生。
45高等职业教育分类考试招生考什么?
答:高等职业教育分类考试招生按不同考生类型划分为不同的考试内容。普通高中学生参加高等职业教育分类考试招生,文化素质成绩使用学业水平考试中的语文、数学科目成绩。职业技能部分由专业基础知识和职业适应性测试组成,其中专业基础知识由联合考试招生院校根据招生专业(类)需要,从普通高中学业水平考试中的“外语、思想政治、历史、地理、物理、化学、生物学”等科目中指定一门计入,职业适应性测试由联合考试招生院校统一组织。
中等职业学校的学生报考高职(专科)院校,文化素质考试科目为“语文、数学”,职业技能测试成绩使用对口升学专业考试成绩,没有对口升学专业考试成绩的,须参加招生院校联合组织的技能测试。
46高等职业教育分类考试招生怎么录取?
答:高等职业教育分类考试招生与普通高考一样,采取平行志愿投档方式,并且逐步探索实施一档多投的录取方式,增加学校和考生双向选择的机会。
47未被高等职业教育分类考试招生录取的考生是否还能够参加普通高考?
答:我省继续保留考生通过参加普通高校统一考试招生进入高职(专科)院校学习的通道。也就是说,未被高等职业教育分类考试招生录取的考生,可以继续参加普通高考,仍有机会被普通高校录取。
改革的保障措施
48我省如何强化考试安全和诚信制度建设?
答:我省将加强高校考试招生安全管理,进一步做好报名、考试、评卷和录取各项管理工作,完善公示公开、举报和申诉等各方面的制度,建立公平、有序、高效的考试招生秩序,努力构建科学、规范、严密的教育考试招生安全体系。加强对考生、教师及考试工作人员的诚信教育和评价管理,健全学校、个人考试诚信档案,积极营造诚信考试、公正选才的良好环境。加强对高中阶段学校综合素质评价工作的指导,建立综合素质评价学校信誉制度及相应的奖惩机制。
49我省如何确保考试招生公平公正?
答:我省将继续深入实施招生“阳光工程”,完善学校招生章程制定和公布制度,强化招生政策、招生计划、实施过程和录取结果等信息公开。建立责任追究制度,严肃查处考试招生中存在的违规行为,及时公布处理结果。进一步加强行政管理,引导学校健全自律机制,充分发挥社会监督作用,共同维护考试招生秩序,保证公平公正。
50我省如何加强高考综合改革的基础条件保障?
答:高考综合改革涉及经费保障、基础设施建设、人员编制、宣传引导、安全保密等方方面面,需要省有关部门和单位紧密协作,共同推进。省政府已于2018年4月成立“河北省高考综合改革工作领导小组”,由分管省领导任组长,省政府办公厅、省教育厅、省委宣传部、省委编办、省发展改革委、省财政厅、省人力资源社会保障厅等部门领导同志为成员,共同研究解决改革过程中出现的困难和问题,全面加强省政府对高考综合改革工作的组织领导。
在《实施方案》中,分别从加强组织领导、强化条件保障、确保考试安全、加强宣传引导等方面提出了明确要求,特别是围绕资金投入、人员编制、机构设置等方面,提出要全面落实普通高中生均公用经费拨款制度;深入实施高中普及攻坚计划,全面消除超大班额、基本消除大班额;大力加强高中教师队伍建设,努力增加供给,统筹调整和使用现有师资,协调解决区域内高中学校教师潮汐性缺额问题;大力加强普通高中学生综合素质评价电子平台建设,建立学生综合实践基地,为高中学校开展综合素质评价提供支持和帮助;不断改善考试招生工作基础条件,确保考试招生工作安全、平稳进行,努力为我省高考综合改革创造有利条件。
来源于:http://www.zgygsx.com/ 图片及文字版权归原作者所有如有侵权请立即与我们联系删除

- 上一篇:山东:6月7日至8日高考 6月25日前公布成绩
- 下一篇:详解江苏新高考方案四大变化
更多>>高校资讯
- 05/12实用!高考志愿填报有何技
- 05/12高考填志愿攻略,不只有数
- 05/126日开始网上填报志愿!
- 05/12教育部:2025世界数字大会将
- 05/12河南省2025年高等职业教育单
- 05/12河北省2025年高职单招招生计
- 05/12深圳市2025年高等职业院校及
- 05/12上海市2025年中等职业学校及
更多>>招生政策
- 08/26关于做好2025年福建省普通高
- 08/26综合评价招生专业全面解读
- 08/26有何新变?五年培育效果如
- 08/26阳光招生专项行动
- 08/26义务教育阶段学校招生政策
- 08/26家长速看!官方回应
- 08/26义务教育学校招生政策出台
- 08/26普通高校招生工作实施办法